Audit Pembinaan Audit Pembinaan merupakan aktiviti pemeriksaan yang dilaksanakan untuk. Diadakan selepas diterima Surat Setujuterima Tender SST Diselaras oleh pihak yang mengeluarkan Surat Setujuterima Tender.
Unit Tentera Jkr Negeri Johor Utnegerijohor Twitter
Penyerahan Lukisan Pembinaan Pelan Pra-Hitung dan.
Doukumen spb mesyuarat pra pembinaan. Untuk memperkenalkan ahli pasukan projek. Fail Berkaitan Sistem Pengurusan Keselamatan dan Kesihatan PROSEDUR AUDIT DALAMAN JKRPKP03 1. 5 Mac 2007 45 Mesyuarat Pra-Pembinaan Mesyuarat pra-pembinaan perlu diadakan selepas SST dikeluarkan dan sebelum tarikh milik tapak dan dipengerusikan oleh PD.
Daftar Fail Rasmi 2. A Pematuhan kepada perancangan mesyuarat dalam C-Plan b Agenda mesyuarat mematuhi SPB c Penggunaan mesyuarat sebagai PM Tool bagi mencapai objektif kualiti projek masa kos dan kualiti 2 Minit mesyuarat takwim. 19 150 JKR Malaysia.
Dokumen SPB Yang telah dilupus PROSEDUR KAWALAN REKOD JKRPKP02 1. Prosedur pembinaan dan penyeliaan tapak bina. ACDA As Conract Detail Abstract 2.
Pindaan Tarikh TAPAK BINA Muka Surat. 33 Mesyuarat Pra-Pembinaan Tapak Teknikal Koordinasi. Dicadangkan diadakan mesyuarat pra pembinaan sebelum tarikh milik tapak.
Minit Mesyuarat Pra Pembinaan Tapak Penyelarasan Teknikal Fail Projek 7 Tahun 9 Perakuan Siap Kerja Projek Fail Projek 7 Tahun HAKCIPTA JKR MALAYSIA DOKUMEN TERKAWAL JKR MALAYSIA 80 No. DOKUMEN SERAHAN TAPAK MENGADAKAN MESYUARAT PENYERAHAN TAPAK A 8. Published on May 2018 Categories.
23 April 2008 JKR MALAYSIA PROSEDUR PEMBINAAN DAN PENYELIAAN TAPAK BINA Muka Surat. Answered Sep 22 2020 shahairulsairi 4580 points 3 15 30 selected Sep 22 2020 by TanCK. AKTIVITI TINDAKAN DOKUMEN iv.
C-Plan Pelan Kualiti Pembinaan Construction Quality Plan5. BIM - 01_GARIS PANDUAN BIM JKR was published by Que Haidar on 2019-11-06. O 04 prosedur pembinaan dan penyeliaan tapak bina this content is password protected.
AP Arahan Perbendaharaan 3. Rekod Pindaan Dokumen SPB 5. Garis panduan pengurusan pembinaan projek reka bina.
Manual penarafan hijau jkr ph jkr sektor bangunan - kb1 versi 10 manual penarafan hijau jkr ph jkr sektor bangunan - kb1 versi 20. Download BIM - 01_GARIS PANDUAN BIM JKR PDF for free. Cara Merekod Surat Keluar Masuk Arkib.
Untuk memperjelaskan mengenai kehendak kontrak yang perlu dipatuhi. Garis panduan pengurusan pembinaan projek reka bina. JKRPKO04 01 01 12 Januari 2005 9 31.
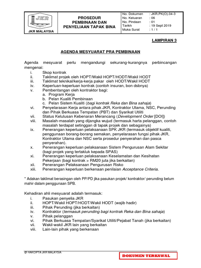
Related posts to contoh minit mesyuarat syarikat swasta 9 contoh minit mesyuarat syarikat swasta 9 2016 11 12t16 38 00 08 00 rating. Contoh Minit Mesyuarat Syarikat Kontraktor - 17 31 HAKCIPTA JKR MALAYSIA DOKUMEN TERKAWAL Borang JKRPKO04-3 LAMPIRAN 3 Agenda Mesyuarat Pra Pembinaan. Prosedur tanggungjawab tindakan sistematik termasuk.
Mesyuarat pra pembinaan taklimat kerja-kerja membarumuka jalan kaedah cold in place recycle. Mesyuarat yang biasa diadakan adalah seperti berikut. Penyelaras BIM a Mengurus persembahan model 3D kepada ahli pasukan pembinaan di tapak semasa mesyuarat pra pembinaan dan mesyuarat tapak b Mengurus pengemaskinian Family dan model setiap disiplin bagi memastikan ianya mematuhi keperluan prosedur dan piawaian yang ditetapkan di samping mengekalkan integriti model sepanjang fasa pembinaan c.
Surat Perlepasan dan Harga Subkontrak untuk Subkontraktor Domestik - Paip Air Dalaman Sistem Paip Luaran Elektrikal Telekomunikasi Sistem Pembentungan v. Find more similar flip PDFs like BIM - 01_GARIS PANDUAN BIM JKR. Agenda mesyuarat perlu mengandungi sekurang-kurangnya perbincangan mengenai.
Kad Daftar Pinjaman Fail DOCKETDaftar Pergerakan Fail 4. Mesyuarat Pra Pembinaan Mesyuarat Pra Pembinaan merupakan mesyuarat yang dilakukan sebelum pelaksanaan projek dimulakan bertujuan untuk memastikan semua pihak terlibat memahami skop menyelaraskan tugas dan tanggungjawab masing-masing. The latest tweets from fadlijkr.
Daftar surat menyurat 3. Method Statement Method Statement merupakan pernyataan tatacara kaedah kerja pembinaan yang. Iii iv JKR Malaysia.
5 Mac 2007 SINGKATAN Bil. PANDUAN MESYUARAT TAPAK BINA JKR. Keluaran PROSEDUR PEMBINAAN DAN PENYELIAAN No.
Pengenalan Pasukan Pengurusan Pembinaan iii. 17 31 HAKCIPTA JKR MALAYSIA DOKUMEN TERKAWAL Borang JKRPKO04-3. Download JKRpkO04 Pembinaan Penyeliaan Tapak Bina.
Buku Panduan Pentadbiran Kontrak Kerja Raya Edisi Ketiga No. Bab 8 - dokumen kontrak 148 bab 9 - penyediaan pengesanan kemajuan dan rekod tapak bina 159 bab 10 - kelambatan dan lanjutan masa 195 bab 11 - kerja tidak siap 215 bab 12 - penamatan pengambilan kerja kontraktor 228 bab 13 - penyiapan kerja penyerahan kerja dan kecacatan 260 bab 14 - sub kontraktor dinamakan dan pembekal dinamakan 281 bab 15 - bayaran. APK Arahan Perubahan Kerja.
2 31 4 6 mesyuarat pra pembinaan mesyuarat pra pembinaan merupakan mesyuarat yang dilakukan sebelum pelaksanaan projek dimulakan bertujuan untuk memastikan. Isu dan Agenda boleh rujuk Dokumen SPB seperti di bawah. Mesyuarat Pra-Pembinaan Project Kickoff Meeting.
Check Pages 101-150 of BIM - 01_GARIS PANDUAN BIM JKR in the flip PDF version. Program Kerja dan Carta Organisasi vi. 31 Mesyuarat Pra-TenderKesediaan Untuk Tender 8 32 Pemantauan dan Kawalan 33 34 Pengeluaran Surat Setuju Terima SST Pelaksanaan Gerbang Nilai GN 3 40 PEMBINAAN Peranan HOPT Dalam Memantau Prestasi Pembinaan Projek 10 41 Kawalan Pengurusan Skop Kewangan dan Masa Melalui SKALA 42 Kawalan Pengurusan Kualiti.
34 Pasukan Penyelia Pembinaan Wakil PP 341 Penyelaras BIM a Mengurus persembahan model 3D kepada ahli pasukan pembinaan di tapak semasa mesyuarat pra pembinaan dan mesyuarat tapak b Mengurus pengemaskinian Family dan model setiap disiplin bagi memastikan ianya mematuhi keperluan prosedur dan piawaian yang ditetapkan di. Mesyuarat dipengerusikan oleh Pegawai Penguasa atau Wakil Pegawai Penguasa Utama sekiranya telah dilantik 3. Mesyuarat Pra Pembinaan Mesyuarat Pra Pembinaan merupakan mesyuarat yang dilakukan sebelum pelaksanaan projek dimulakan bertujuan untuk memastikan semua pihak terlibat memahami skop menyelaraskan tugas dan tanggungjawab masing-masing.
